Overslaan en naar de inhoud gaan

Rechtspositieregeling VMRI

De rechtspositieregeling regelt de arbeidsvoorwaarden en -omstandigheden van werknemers die werkzaam zijn bij het Vlaams Mensenrechteninstituut.

De rechtspositieregeling omvat onder meer bepalingen over salaris, verlof, ziekteverlof, pensioen en ontslagbescherming.

Het Vlaams mensenrechteninstituut hecht veel waarde aan de bescherming en bevordering van de rechten van werknemers en draagt met de publicatie van de rechtspositieregeling bij aan het garanderen van eerlijke en rechtvaardige arbeidsvoorwaarden en -omstandigheden in de publieke sector in Vlaanderen.

Inhoud: 

TITEL I – Algemene bepalingen  

Hoofdstuk I – Definities 

Hoofdstuk II – Toepassingsgebied

Hoofdstuk III – Rechten en verplichtingen          

TITEL II – Selectie en aanwerving            

Hoofdstuk I – Indeling in klassen en klassenniveaus        

Hoofdstuk II – De aanwerving    

Hoofdstuk III – De selectieprocedure     

Hoofdstuk IV – De aanwerving van personen met een handicap 

Hoofdstuk V – Evenwichtige en diverse samenstelling van het personeelsbestand        

Titel III – Evaluatie tijdens de loopbaan 

Hoofdstuk I – Principes en verloop van de jaarlijkse evaluatie     

Hoofdstuk II – De evaluatoren   

Hoofdstuk III – Evaluatie mandaat van de directeur        

Titel IV – Deontologie    

Hoofdstuk I – Deontologische principes 

Hoofdstuk II – Cumulatie van beroepsactiviteiten            

TITEL V – Verloven         

Hoofdstuk I – Jaarlijkse vakantie             

Hoofdstuk II – Moederschapsverlof en opvangverlof      

Hoofdstuk III – Geboorteverlof  

Hoofdstuk IV – Ouderschapsverlof         

Hoofdstuk V – Verlof voor het verstrekken van palliatieve zorgen            

Hoofdstuk VI – Verlof voor bijstand aan of verzorging van een zwaar ziek gezins- of familielid        

Hoofdstuk VII – Ziekteverlof       

Hoofdstuk VIII – Verlof voor verminderde prestaties      

Hoofdstuk IX – Zorgkrediet

Hoofdstuk X – Verlof en dienstvrijstelling voor opleiding en bijscholing  

Hoofdstuk XI – Omstandigheidsverlof    

Hoofdstuk XII – Bijzonder onbezoldigd verlof     

TITEL VI – Geldelijk statuut         

Hoofdstuk I – Salarissen             

Hoofdstuk II – Toelagen 

Hoofdstuk III – Diverse vergoedingen     

Hoofdstuk IV – Aanvullend pensioen voor de personeelsleden en de effectieve leden van de geschillenkamer             

Titel VIII – Slotbepalingen          

TITEL I – Algemene bepalingen

Hoofdstuk I – Definities

Artikel 1.            Voor de toepassing van deze rechtspositieregeling wordt verstaan onder:

  1. Arbeidsovereenkomstenwet: De wet van 3 juli 1978 betreffende de arbeidsovereenkomsten;
  2. Directeur: de directeur van het VMRI zoals bepaald in artikel 36 van het VMRI Decreet;
  3. Effectieve leden van de geschillenkamer: de effectieve leden van de geschillenkamer zoals bepaald in artikel 34 van het VMRI Decreet;
  4. Personeelsleden: de personeelsleden van het VMRI zoals bepaald in artikel 37 van het VMRI Decreet, alsook de directeur tenzij deze expliciet wordt uitgezonderd;
  5. Raad van bestuur: de raad van bestuur van het VMRI zoals bepaald in artikel 30 van het VMRI Decreet;
  6. Secretariaat van de geschillenkamer: het secretariaat zoals bedoeld in artikel 35, lid 2 van het VMRI Decreet.
  7. VAPH: Vlaams Agentschap voor Personen met een Handicap
  8. VMRI Decreet: het decreet van 28 oktober 2022 tot oprichting van het VMRI;
  9. VMRI: Vlaams Mensenrechteninstituut.

Hoofdstuk II – Toepassingsgebied

Artikel 2.            De effectieve leden van de geschillenkamer en de personeelsleden zijn onderworpen aan de bepalingen en modaliteiten zoals bepaald in:

  1. Deze rechtspositieregeling en de bijlagen;
  2. Het arbeidsreglement;
  3. De bepalingen van de individuele arbeidsovereenkomst.

Hoofdstuk III –  Rechten en verplichtingen

Artikel 3.            De effectieve leden van de geschillenkamer en de personeelsleden dienen bij elke gelegenheid te zorgen voor de vrijwaring van het aan het VMRI toevertrouwde mandaat. Zij zijn ertoe gehouden de hen toevertrouwde taken stipt en zorgvuldig na te komen.

Zij mogen de uitoefening van hun functie niet onderbreken zonder voorafgaande toelating.

TITEL II – Selectie en aanwerving

Hoofdstuk I – Indeling in klassen en klassenniveaus

Artikel 4.             Er zijn vijf klassen die aangeduid worden met een Romeins cijfer, waarbij het hoogste cijfer de hoogste klasse aanduidt.

Die klassen stemmen overeen met de volgende onderwijsniveaus:

  1. Klasse I: geen diploma of algemeen vormend of technisch hoger secundair onderwijs of daarmee gelijkgesteld;
  2. Klasse II: hoger onderwijs met een basisopleiding van één cyclus of daarmee gelijkgesteld onderwijs of de graad van bachelor;
  3. Klasse III tot en met V: universitair onderwijs en hoger onderwijs met een basisopleiding van twee cycli, gelijkgesteld met universitair niveau of de graad van master.

Artikel 5.            Elke functie is ingedeeld in een klasse. 

De raad van bestuur stelt de functies vast die overeenkomen met de betrekkingen zoals in het personeelsplan vastgelegd, met vermelding van de klasse waarin die functie wordt ingedeeld. 

De functies worden ingedeeld in klassen overeenkomstig artikel 4 op basis van het diploma dat men nodig heeft voor de uitvoering ervan. De functie van directeur en effectief lid van de geschillenkamer wordt ingedeeld in klasse V. 

De raad van bestuur kan een functie van klasse I tot en met III gemotiveerd één klasse hoger indelen op basis van een analyse van de functiebeschrijvingen en de daadwerkelijke invulling van de functie en meer bepaald: 

1° leidinggevende aspecten van de functie; 

2° de bijzondere impact van de functie. 

Artikel 6.             De operationele vertaling van de functiebeschrijvingen en de voor de functie vereiste competenties wordt vastgelegd door de raad van bestuur. Na de opstartfase kan de raad van bestuur deze operationele vertaling voor de klassen I tot en met III delegeren aan de directeur of, voor de personeelsleden van de geschillenkamer, aan de voorzitter van de geschillenkamer. 

Artikel 7.             §1 De klassen I tot en met III bevatten telkens drie klassenniveaus: een basisniveau en twee bevorderingsniveaus. De klassen IV en V bevatten één klassenniveau. 

De klassenniveaus worden aangeduid door het cijfer van de klasse, gevolgd door een  punt en  een  cijfer van  1  tot 3.  Dit  cijfer geeft  in  opklimmende volgorde  het  klassenniveau binnen die klasse aan, waarbij 1 het basisniveau, en wat de klassen I tot en met III betreft, 2 het eerste bevorderingsniveau en 3 het tweede bevorderingsniveau  aanduidt. 

De vijf klassen bevatten de volgende klassenniveaus: 

Klasse I:       3 klassenniveaus, genummerd, I.1, I.2, I.3 

Klasse II:      3 klassenniveaus, genummerd, II.1, II.2, II.3 

Klasse III:     3 klassenniveaus, genummerd, III.1, III.2, III.3 

Klasse IV:    1 klassenniveau, IV.1 

Klasse V:      1 klassenniveau, V.1 

§2 Op het basisniveau situeren zich de standaardvereisten inzake verantwoordelijkheden, taken, competenties en waarden die nodig zijn voor een kwaliteitsvolle uitoefening van de functie.   

Op het eerste bevorderingsniveau situeren zich de vereisten inzake verantwoordelijkheden, taken, competenties en waarden die een duidelijke en significante meerwaarde betekenen ten opzichte van het basisniveau en een functie-uitoefening als senior garanderen.

Op het tweede bevorderingsniveau situeren zich de vereisten inzake verantwoordelijkheden, taken, competenties en waarden die een uitzonderlijke verrijking of onderscheidende invulling van de functie en van het functioneren van het betrokken personeelslid als expert veronderstellen.

§ 3 Behoudens beslissing zoals bedoeld in artikel 61, lid 2, wordt een personeelslid bij aanwerving ingeschaald op het basisniveau. De raad van bestuur bepaalt de nadere procedure voor personeelsleden om een bevordering naar een hoger klassenniveau aan te vragen.

Hoofdstuk II – De aanwerving

Afdeling I – De algemene toelatingsvoorwaarden en de algemene aanwervingsvoorwaarden

Artikel 8.            Voor een betrekking bij het VMRI gelden de volgende algemene toelatingsvoorwaarden, die gecontroleerd worden door een uittreksel uit het strafregister voor te leggen:

  1. Een gedrag hebben dat in overeenstemming is met de eisen van de beoogde betrekking;
  2. De burgerlijke en politieke rechten genieten;

Artikel 9.             De effectieve leden van de geschillenkamer en de personeelsleden kunnen slechts aangeworven worden indien zij aan de volgende voorwaarden voldoen:

  1. In het bezit zijn van een diploma dat overeenkomt met het onderwijsniveau van de te verlenen betrekking zoals bepaald in artikel 4;
  2. De selectieprocedure, zoals bepaald in hoofdstuk III hebben doorlopen.

Afdeling II – De specifieke aanwervingsvoorwaarden

Onderafdeling 1 – De directeur

Artikel 10.           Overeenkomstig artikel 36, §2 van het VMRI Decreet, kan de directeur van het VMRI slechts worden aangeworven indien hij aan de volgende voorwaarden voldoet:

  1. Hij is houder van een diploma dat toegang verleent tot een functie van niveau A bij de diensten van de Vlaamse overheid;
  2. Hij heeft minstens vijf jaar relevante beroepservaring;
  3. Hij is van onberispelijk gedrag, hetgeen aangetoond kan worden met een uittreksel uit het strafregister.
Onderafdeling 2 – De effectieve leden van de geschillenkamer

Artikel 11.           Overeenkomstig artikel 34, §2 van het VMRI Decreet, kan een lid van de geschillenkamer slechts worden aangeworven indien hij aan de volgende voorwaarden voldoet:

  1. Hij beschikt over een aantoonbare kennis van mensenrechten in het algemeen, en van discriminatierecht in het bijzonder; en heeft
  2. Ofwel minstens vier jaar het ambt van magistraat bekleed in de hoven en rechtbanken, bij de administratieve rechtscolleges of het Grondwettelijk Hof, of het ambt van referendaris bij het Grondwettelijk Hof;
  3. Ofwel minstens vier jaar een opdracht vervuld als lid van het academisch of onderwijzend personeel van een Vlaamse universiteit of aan een Vlaamse instelling voor hoger onderwijs van het lange type;
  4. Ofwel minstens vier jaar als advocaat gewerkt.
Onderafdeling 3 – De personeelsleden met uitzondering van de directeur

Artikel 12.          De personeelsleden van het VMRI, de directeur uitgezonderd, moeten houder zijn van een diploma of studiegetuigschrift dat overeenkomt met het niveau van de te verlenen klasse, zoals bepaald in artikel 4. 

De kandidaten worden geselecteerd na een open kandidaatstellingsprocedure op basis van hun expertise en ervaring, waarbij ook aandacht is voor een evenwichtige en diverse samenstelling van het personeelsbestand, alsook voor de activiteiten die de personeelsleden buiten hun functie zouden uitoefenen en die de onafhankelijkheid van het VMRI of het vertrouwen van het publiek in het VMRI zouden kunnen aantasten.

Artikel 13.          §1. Bij de uitoefening van haar bevoegdheden wordt de geschillenkamer ondersteund door personeelsleden die houder zijn van een diploma van master of licentiaat in de rechten of van een doctoraat in de rechten, met een aantoonbare kennis van het discriminatierecht.

§2. De geschillenkamer kan tevens worden ondersteund door personeelsleden die niet voldoen aan de in de vorige paragraaf gestelde aanwervingsvoorwaarden, meer bepaald de personeelsleden die een functie uitoefenen binnen het secretariaat van de geschillenkamer. 

Afdeling III – De aanwervingsprocedure

Artikel 14.           Wanneer een functie vacant wordt, kan deze eerst intern aangeboden worden aan het personeel dat reeds in dienst is.

Hoofdstuk III – De selectieprocedure

Afdeling I – Algemene regels voor de selecties

Artikel 15.          §1. De directeur en de effectieve leden van de geschillenkamer worden aangeworven op basis van een vergelijkende selectie, na een openbare oproep tot kandidaatstelling.

§2. De personeelsleden van het VMRI worden geselecteerd na een open kandidaatstellingsprocedure.

§3. Het VMRI kan voor de organisatie van de open kandidaatstellingsprocedure en de vergelijkende selectie een beroep doen op externe organisaties.

Afdeling II – Het verloop van de vergelijkende selectie

Artikel 16.          §1. Een vergelijkende selectie is de selectie die, op basis van een functiebeschrijving en het competentieprofiel, georganiseerd wordt op initiatief van de raad van bestuur.

§2. De vergelijkende selecties kunnen meerdere opeenvolgende modules van proeven omvatten waarbij de kandidaat enkel tot de volgende module wordt toegelaten op voorwaarde dat hij geslaagd is voor de vorige. De selecties kunnen leiden tot een samenstelling van een groep geslaagden, die onderling niet gerangschikt zijn, bestaande uit personen die werden beoordeeld als zijnde degenen die het best aan de functiebeschrijving en het competentieprofiel beantwoorden.

De raad van bestuur kan het maximum aantal geslaagden bepalen op basis van het aantal vacante betrekkingen per functie. Dat maximum aantal moet hoger zijn dan het aantal vacante betrekkingen.

De oproep tot kandidaten vermeldt het aantal toe te kennen betrekkingen en het maximum aantal geslaagden.

§3. De functie zal worden ingevuld door de kandidaat, uit de groep van geslaagden, die de raad van bestuur, na een interview, het meest geschikt acht.

Hoofdstuk IV – De aanwerving van personen met een handicap 

Artikel 17.          De hinderpalen voor deelname aan een selectieprocedure door personen met een handicap  worden zoveel mogelijk weggewerkt door het bieden van redelijke aanpassingen, in overleg met de organiserende instantie.

Artikel 18.          §1. In het geval de selectieprocedure niet leidt tot een onderlinge rangschikking van de kandidaten, wordt er bijkomend bepaald welke kandidaten gelijkwaardig geschikt worden geacht. 

§2. In het geval de vergelijkende selectie bedoeld in artikel 16 leidt tot de samenstelling van een groep geslaagden, die onderling niet gerangschikt zijn, worden alle geslaagde kandidaten als gelijkwaardig gerangschikt geacht. 

§3. Wanneer er voor eenzelfde functie na individuele beoordeling van alle kandidaten meer dan één persoon gelijkwaardig gerangschikt wordt of wordt geacht, en één van deze kandidaten  is een persoon met een handicap, dan zal die laatste bij voorrang worden aangeworven.

Hoofdstuk V – Evenwichtige en diverse samenstelling van het personeelsbestand

Artikel 19.          De raad van bestuur kan maatregelen van positieve actie vastleggen teneinde de evenwichtige en diverse samenstelling van het personeelsbestand te bevorderen. 

Titel III – Evaluatie tijdens de loopbaan

Hoofdstuk I – Principes en verloop van de jaarlijkse evaluatie

Artikel 20.          §1. Elk personeelslid en elk effectieve lid van de geschillenkamer wordt jaarlijks geëvalueerd over zijn functioneren in de functie of functies die hij in het voorbije jaar uitgeoefend heeft en over de uitvoering van zijn individuele doelstellingen.

§2. Die doelstellingen worden in overleg met het personeelslid of het effectief lid van de geschillenkamer door de evaluatoren vastgelegd tijdens een planningsgesprek.

Hoofdstuk II – De evaluatoren

Artikel 21.          §1. De personeelsleden van het VMRI, met uitzondering van de directeur en de personeelsleden van de geschillenkamer, worden geëvalueerd door de directeur of de door hem aangeduide personen.

§2. De directeur wordt geëvalueerd door de raad van bestuur.

§3. De effectieve leden van de geschillenkamer en de personeelsleden van de geschillenkamer worden geëvalueerd door de voorzitter van de geschillenkamer. 

§4. De voorzitter van de geschillenkamer wordt oriënterend geëvalueerd door de raad van bestuur, louter voor wat betreft de uitoefening van diens taken die verband houden met het aansturen van de geschillenkamer en het leiding geven aan diens  ondersteunend personeel.

Artikel 22.          De evaluatie vindt plaats aan de hand van een vooraf opgestelde functiebeschrijving.

Op basis van de functiebeschrijving worden jaarlijks verwachtingen ten aanzien van het personeelslid of het effectief lid van de geschillenkamer opgesteld in onderling overleg tussen de evaluator en de geëvalueerde.

Er kunnen, op verzoek van de evaluator of de geëvalueerde, functioneringsgesprekken gevoerd worden tijdens de evaluatieperiode waarbij eventueel wordt aangegeven wat bijgestuurd moet worden. Van zulk een functioneringsgesprek wordt een verslag opgesteld dat aan beide partijen ter ondertekening wordt voorgelegd. Als een partij weigert het verslag te ondertekenen, wordt dit aangegeven op het document houdende het verslag. 

Na één jaar vindt er een daadwerkelijk evaluatie plaats die kan leiden tot een resultaat overtreft de verwachtingen, voldoende of onvoldoende. Van dit evaluatiegesprek wordt een verslag opgesteld dat beide partijen ondertekenen binnen een periode van veertien dagen na het evaluatiegesprek. Als een partij weigert het verslag te ondertekenen, wordt daarvan melding gemaakt. 

Het personeelslid of het effectief lid van de geschillenkamer dat in de loop van het jaar om welke reden dan ook afwezig was, wordt op het eerstvolgende tijdstip geëvalueerd over de periode dat hij effectief zijn functie uitoefende.

Hoofdstuk III – Evaluatie mandaat van de directeur

Artikel 23.          §1. Overeenkomstig artikel 36, §6 van het VMRI Decreet, doorloopt de directeur een proefperiode van zes maanden, te rekenen vanaf de dag waarop de betrokkene het mandaat effectief opneemt. Uiterlijk vijfenveertig dagen voor het verstrijken van de proefperiode evalueert de raad van bestuur de directeur. Bij ontstentenis van een evaluatie op dat ogenblik wordt de evaluatie geacht gunstig te zijn.

§2. Overeenkomstig artikel 36, §4 van het VMRI Decreet, wordt het mandaat van de directeur geëvalueerd bij het verlopen van de eerste termijn van zes jaar, met het oog op de verlenging van het mandaat. Opdat het mandaat verlengd kan worden, moet de directeur positief geëvalueerd worden. De evaluatie moet afgerond zijn zes maanden voor het einde van het mandaat van de directeur.

§3. De beëindiging van het  mandaat van de directeur betekent in ieder geval de beëindiging van de arbeidsovereenkomst tussen het VMRI en de directeur.

Titel IV – Deontologie

Hoofdstuk I – Deontologische principes

Artikel 24.          §1. De personeelsleden en de effectieve leden van de geschillenkamer oefenen hun taak op loyale wijze uit. Dat betekent onder meer:

  • Dat zij trouw zijn aan de principes van de rechtsstaat en van de democratische instellingen;
  • Dat zij hun taken uitoefenen onder het gezag van hun leidinggevenden, in een constructieve dialoog;
  • Dat zij het vertrouwen in de werking van het VMRI niet mogen beschamen.
  • Dat zij hun onafhankelijkheid ten aanzien van het Vlaams Parlement en de Vlaamse Regering te allen tijde bewaken;
  • Dat zij geen instructies aannemen van om het even welke persoon of instelling die buiten het VMRI staat;
  • Dat zij waken over het vertrouwelijke karakter van de hun meegedeelde informatie in het kader van hun functie;
  • Dat zij ten aanzien van personen die in contact komen met het VMRI steeds op onafhankelijke, onpartijdige en respectvolle wijze handelen;
  • Dat zij in hun handelen buiten de werking van het VMRI steeds respectvol blijven en de nodige discretie bewaren.

§2. De personeelsleden en de effectieve leden van de geschillenkamer oefenen hun taak op integere wijze uit. Dat betekent onder meer:

  • Dat zij in hun omgang open en correct zijn en de persoonlijke waardigheid respecteren;
  • Dat zij zich onthouden van elke daad van geweld, pesterijen of ongewenst seksueel gedrag op het werk en dat zij evenmin wederrechtelijk gebruik maken van de procedures zoals bedoeld in de wet van 4 augustus 1996 betreffende het welzijn van de werknemers bij de uitvoering van hun werk;
  • Dat zij generlei voordelen mogen vragen of ontvangen, of fouten mogen toedekken of mogen helpen toedekken, die hen of het VMRI kunnen compromitteren;
  • Dat zij belangenconflicten vermijden.

§3. De personeelsleden en de effectieve leden van de geschillenkamer oefenen hun taak op professionele wijze uit. Dat betekent onder meer:

  • Dat zij actief meewerken aan de realisatie van de doelstellingen van het VMRI, op een zo zorgvuldig en deskundig mogelijke wijze;
  • Dat zij de wet- en regelgeving en de billijkheids- en doelmatigheidsaspecten in acht nemen;
  • Dat zij hun adviezen en verslagen volgens de afgesproken standaarden en procedures formuleren;
  • Dat zij beslissingen correct uitvoert en dat zij zelf ook het nodige doen om lacunes op te sporen en om het initiatief te nemen tot beslissingen.

Artikel 25.          De personeelsleden en de effectieve leden van de geschillenkamer hebben recht op vrijheid van meningsuiting ten aanzien van de feiten waarvan zij door hun functie kennis hebben. Wanneer zij van dit recht gebruik maken, doen zij dat op een afgewogen wijze, rekening houdend met hun discretieplicht.

Onverminderd de reglementering inzake openbaarheid van bestuur, is het hen enkel verboden feiten bekend te maken die betrekking hebben op: 

  • de veiligheid van het land;
  • de bescherming van de openbare orde;
  • de financiële belangen van de overheid;
  • maatregelen ter voorkoming van strafbare feiten;
  • het medische geheim;
  • het vertrouwelijke karakter van commerciële, intellectuele en industriële gegevens;
  • de rechten en de vrijheden van de burger, en in het bijzonder het recht op eerbied voor het privéleven.

Artikel 26.          De personeelsleden en de effectieve leden van de geschillenkamer hebben recht op opleiding en bijscholing wat alle aspecten betreft die nuttig zijn voor hun taakvervulling. 

De personeelsleden en de effectieve leden van de geschillenkamer hebben recht op opleiding en bijscholing voor persoonlijke vervolmaking voor zover dat past in de organisatorische doelstellingen.

Artikel 27.          De personeelsleden en de effectieve leden van de geschillenkamer hebben het recht hun persoonlijk dossier te raadplegen.

Hoofdstuk II – Cumulatie van beroepsactiviteiten

Artikel 28.           In dit hoofdstuk wordt verstaan onder:

1° Beroepsactiviteit: elke bezigheid waarvan de opbrengst als een bedrijfsinkomen belastbaar is overeenkomstig het Wetboek van de Inkomstenbelasting;

2° Diensturen: de uren waarop de leden van het VMRI redelijkerwijze verondersteld worden beschikbaar te zijn voor de dienstverlening door het VMRI. De uren van afwezigheid waarvoor dienstvrijstelling werd verleend, worden als diensturen beschouwd.

Artikel 29.          Onverminderd de onverenigbaarheden die worden bepaald voor de functies van directeur en effectieve leden van de geschillenkamer in het VMRI Decreet, mag een personeelslid van het VMRI of een effectief lid van de geschillenkamer een beroepsactiviteit cumuleren met zijn taak binnen het VMRI, buiten zijn diensturen. 

Voor wat betreft de personeelsleden van het VMRI is dergelijke cumulatie onderworpen aan de voorafgaande melding aan en goedkeuring door de raad van bestuur.

Voor wat betreft de effectieve leden van de geschillenkamer is dergelijke cumulatie onderworpen aan de voorafgaande melding aan en goedkeuring door de raad van bestuur.

De gecumuleerde beroepsactiviteit en de uitoefening ervan mogen niet strijdig zijn met de deontologische principes, zoals vermeld in hoofdstuk I van deze titel.

TITEL V – Verloven

Hoofdstuk I – Jaarlijkse vakantie

Artikel 30.         §1. Personeelsleden  en de effectieve leden van de geschillenkamer van het VMRI hebben per werkjaar recht op 40 vakantiedagen.

§2. Vakantiedagen worden genomen naar keuze van het personeelslid of het effectief lid van de geschillenkamer met inachtneming van de behoeften van de dienst, onder verantwoordelijkheid van en in overleg met zijn leidinggevende.

Voor de directeur en de effectieve leden van de geschillenkamer, gebeurt dat na overleg met de raad van bestuur.

§3. Maximaal 11 vakantiedagen kunnen jaarlijks opgespaard worden met het oog op opname voorafgaand aan en voorafgaand aan pensionering. Er kunnen in totaal maximum 50 vakantiedagen opgespaard worden.

Artikel 31.         Elke periode van dienstactiviteit geeft recht op jaarlijkse vakantiedagen.

Als een personeelslid of een effectief lid van de geschillenkamer in de loop van het werkjaar in dienst treedt of ontslag neemt, wordt het aantal vakantiedagen in evenredige mate verminderd tijdens het lopende werkjaar. Het aantal aldus berekende vakantiedagen wordt uitgedrukt in volledige dagen.  Een eventuele afronding gebeurt naar de hogere hele dag. 

Als het aantal aldus berekende vakantiedagen minder dan 15 bedraagt en als het personeelslid of het effectief lid van de geschillenkamer in dienst is getreden vóór 1 juli, wordt dat aantal afgerond naar 15 hele dagen. 

Het aantal vakantiedagen van een personeelslid of een effectief lid van de geschillenkamer dat in de loop van een werkjaar onbezoldigde verlofdagen opneemt, wordt in dat werkjaar en, indien dit niet meer mogelijk is, in het volgende werkjaar, evenredig met het aantal onbezoldigde verlofdagen verminderd.

Het aantal aldus berekende vakantiedagen bedraagt steeds een halve of een volledige dag. De afronding gebeurt naar de hogere halve of hele dag.

Artikel 32.         §1. Het personeelslid of het effectief lid van de geschillenkamer heeft bovendien vakantie op de wettelijke en decretale feestdagen en op de dag na Hemelvaart en op 2 november. 

§2 Het personeelslid of het effectief lid van de geschillenkamer heeft vakantie tussen Kerstmis en nieuwjaar. Die dagen vakantie vervangen de in §1 vermelde wettelijke en decretale feestdagen die tijdens het werkjaar op een zaterdag of zondag vallen. 

§3 Het personeelslid of het effectief lid van de geschillenkamer dat verplicht is om op één van de in §1 vermelde dagen of tussen Kerstmis en nieuwjaar te werken ten gevolge van behoeften van de dienst of werkzaamheden van het VMRI, krijgt voor elk van die dagen een vervangende vakantiedag die onder dezelfde voorwaarden als de jaarlijkse vakantiedagen kan worden genomen.

Artikel 33.         De in dit hoofdstuk bepaalde vakantiedagen worden met een periode van dienstactiviteit gelijkgesteld. Zij worden opgeschort bij geattesteerde ziekte.

Hoofdstuk II – Moederschapsverlof en opvangverlof

Afdeling I – Moederschapsrust

Artikel 34.          De personeelsleden en de effectieve leden van de geschillenkamer hebben recht op moederschapsrust zoals bedoeld in art. 39 van de arbeidswet van 16 maart 1971. 

Afdeling II – Opvangverlof

Artikel 35.          De personeelsleden en effectieve leden van de geschillenkamer hebben recht op opvangverlof bij adoptie of pleegvoogdij, zoals bedoeld in, respectievelijk, art. 30ter en art. 30quater van de arbeidsovereenkomstenwet. 

Hoofdstuk III – Geboorteverlof

Artikel 36.          De personeelsleden en effectieve leden van de geschillenkamer hebben recht op geboorteverlof zoals bedoeld in art. 30 van de arbeidsovereenkomstenwet. 

Hoofdstuk IV – Ouderschapsverlof

Artikel 37.          De personeelsleden en de effectieve leden van de geschillenkamer hebben recht op ouderschapsverlof onder de voorwaarden en voor de duur bepaald in het koninklijk besluit van 7 mei 1999 betreffende de onderbreking van de beroepsloopbaan van het personeel van de besturen, na voorafgaandelijk akkoord van de federale Ministerraad. 

Hoofdstuk V – Verlof voor het verstrekken van palliatieve zorgen

Artikel 38.          De personeelsleden en de effectieve leden van de geschillenkamer hebben recht op verlof voor palliatieve zorgen overeenkomstig de artikelen 100bis en 102bis van de Herstelwet van 22 januari 1985 houdende sociale bepalingen en de eventuele uitvoeringsbesluiten..

Hoofdstuk VI – Verlof voor bijstand aan of verzorging van een zwaar ziek gezins- of familielid

Artikel 39.          De personeelsleden en de effectieve leden van de geschillenkamer hebben recht op op verlof voor bijstand aan of verzorging van een zwaar ziek gezins- of familielid onder de voorwaarden en voor de duur bepaald in het koninklijk besluit van 7 mei 1999 betreffende de onderbreking van de beroepsloopbaan van het personeel van de besturen, na voorafgaandelijk akkoord van de federale Ministerraad.

Hoofdstuk VII – Ziekteverlof

Artikel 40.          §1. De personeelsleden en de effectieve leden van de geschillenkamer die afwezig zijn wegens ziekte of ongeval van gemeen recht, hebben ziekteverlof zoals bedoeld in art. 31 van de arbeidsovereenkomstenwet.

Hoofdstuk VIII – Verlof voor verminderde prestaties

Artikel 41.          Het personeelslid van  klasse III en lager kan voor een periode van maximaal vijf jaar verlof krijgen voor verminderde prestaties indien dat verenigbaar is met de goede werking van de dienst.

In afwijking van het vorige lid is verlof voor verminderde prestaties, voor een periode van maximaal vijf jaar, een recht voor het personeelslid dat de leeftijd van 50 jaar heeft bereikt en voor het personeelslid dat ten minste twee kinderen ten laste heeft die de leeftijd van 15 jaar nog niet bereikt hebben.

Artikel 42.          De directeur, dan wel de voorzitter van de geschillenkamer beslist over de wenselijkheid en de voorwaarden van de tijdelijke vervanging van een of meer personeelsleden met verlof voor verminderde prestaties.

Artikel 43.          §1. Periodes van afwezigheid wegens verminderde prestatie worden gelijkgesteld met actieve dienst.

§2. Voor periodes van afwezigheid wegens verminderde prestaties ontvangt het personeelslid geen salaris. 

Artikel 44.          Het personeelslid dient zijn aanvraag voor verlof voor verminderde prestaties in bij de directeur, dan wel bij de voorzitter van de geschillenkamer, in principe drie maanden vóór de aanvang van het verlof.

De directeur, dan wel de voorzitter van de geschillenkamer, oordeelt of het al dan niet toekennen van het verlof voor verminderde prestaties beperkt kan worden gelet op de noodwendigheden van de dienst. 

Artikel 45.          Het personeelslid dat verlof voor verminderde prestaties krijgt, moet 50, 60, 70, 80 of 90 procent van de in het arbeidsreglement vastgestelde duur van prestaties verrichten. De prestaties worden in principe in hele dagen of halve dagen volgens een vaste verdeling over één of twee weken verricht.
Verminderde prestaties gaan steeds in bij het begin van de maand.

Artikel 46.          Verlof voor verminderde prestaties wordt toegekend voor een periode van ten minste zes en ten hoogste twaalf maanden. 

Verlengingen van ten minste zes en ten hoogste twaalf maanden kunnen echter worden toegestaan indien dat te verzoenen valt met de vereisten van de goede werking van de dienst. 

Het betrokken personeelslid moet elke verlenging aanvragen, ten minste drie maanden voor het verstrijken van het lopende verlof. 

Artikel 47.          Het verlof voor verminderde prestaties wordt opgeschort zodra het personeelslid:

  1. Moederschaps-, opvang-, ouderschapsverlof of zorgkrediet krijgt;
  2. Verlof krijgt voor het voorbereiden van zijn kandidatuur voor wetgevende, provinciale of gemeenteraadsverkiezingen;
  3. Verlof krijgt voor het verrichten van sommige militaire prestaties in vredestijd.

Artikel 48.          Het personeelslid kan op eigen initiatief zijn voltijdse werkzaamheden weer opnemen, voordat de periode verstrijkt waarvoor hij verlof voor verminderde prestaties kreeg. Hiervoor geldt een opzeggingstermijn van een maand. De directeur, dan wel de voorzitter van de geschillenkamer, kan op verzoek van het personeelslid een kortere opzeggingstermijn aanvaarden.

Artikel 49.          Elke vrijwillige wijziging van functie maakt een einde aan het verlof voor verminderde prestaties.

Hoofdstuk IX – Zorgkrediet

Afdeling I – Duur van het zorgkrediet en motieven

Artikel 50.                        §1. Het personeelslid of het effectief lid van de geschillenkamer heeft het recht om zorgkrediet te nemen en daarmee met al dan niet opeenvolgende periodes zijn arbeidsprestaties te verminderen of zijn loopbaan volledig te onderbreken gedurende een van de volgende termijnen:

  1. 18 maanden bij een volledige onderbreking van de loopbaan;
  2. 36 maanden bij een vermindering van de arbeidsprestaties tot de helft van een voltijdse betrekking;
  3. 90 maanden bij een vermindering van voltijdse arbeidsprestaties met een vijfde.

Het personeelslid of het effectief lid van de geschillenkamer kan bij een nieuwe aanvraag van opnamevorm veranderen. Het al opgenomen zorgkrediet wordt in dat geval pro rata aangerekend waarbij één maand volledige onderbreking van de loopbaan gelijkstaat aan twee maanden vermindering van de arbeidsprestaties tot de helft van een voltijdse betrekking, en aan vijf maanden vermindering van een voltijdse arbeidsbetrekking met een vijfde. 

Bij de berekening van het resterende zorgkrediet wordt er afgerond naar de hogere maandeenheid.

§2. Het personeelslid of het effectief lid van de geschillenkamer neemt het zorgkrediet op met periodes van ten minste drie maanden en ten hoogste twaalf maanden, waarbij iedere aanvraag bestaat uit gehele maanden. 

De minimum en maximumtermijn gelden ook in geval van een verlenging of van een nieuwe aanvraag. 

Als de minimumduur van drie maanden het personeelslid of het effectief lid van de geschillenkamer verhindert om zijn resterend zorgkrediet op te nemen, bedraagt de minimumduur één maand. 

In afwijking van het eerste lid neemt een personeelslid of het effectief lid van de geschillenkamer het zorgkrediet voor het verlenen van palliatieve zorgen op met periodes van ten minste één maand en ten hoogste drie maanden.

In afwijking van het eerste lid neemt het personeelslid zorgkrediet op met niet - gehele maanden in één van de volgende gevallen:

1° de periode waarvoor het zorgkrediet wordt aangevraagd, eindigt de dag voordat het kind voor wie zorgkrediet wordt opgenomen, de leeftijd van dertien jaar bereikt;

2° het zorgkrediet wordt opgenomen om een opleiding te volgen.

§ 3 De personeelsleden op proef zijn uitgesloten van de volledige onderbreking van de loopbaan in het kader van zorgkrediet.

De volledige onderbreking van de loopbaan in het kader van zorgkrediet is een gunst voor het personeelslid of effectief lid van de geschillenkamer met een vervangingsovereenkomst of een arbeidsovereenkomst voor een bepaalde duur.

Om het zorgkrediet met een vermindering van de arbeidsprestaties tot de helft van een voltijdse betrekking te kunnen opnemen, moet het personeelslid of het effectief lid van de geschillenkamer te werk gesteld zijn met een arbeidsovereenkomst waarvan de arbeidsduur minstens gelijk is aan drie vierde van de arbeidsduur van een voltijdse betrekking.

Artikel 51.                        §1. Het zorgkrediet wordt alleen toegekend als het personeelslid of het effectief lid van de geschillenkamer een van de motieven bewijst vermeld in het besluit van de Vlaamse Regering van 26 juli 2016 tot toekenning van onderbrekingsuitkeringen voor zorgkrediet. .

Artikel 52.          Het verlof voor loopbaanonderbreking dat werd opgenomen op grond van de regeling die van toepassing was voor 1 september 2017 wordt niet aangerekend op de periodes van zorgkrediet.

Het zorgkrediet dat vanaf 2 september 2016 bij een andere werkgever wordt opgenomen, wordt aangerekend op de periode van zorgkrediet.

Afdeling II –  Voorwaarden en uitkeringen

Artikel 53.          §1. Het personeelslid of het effectief lid van de geschillenkamer dat zorgkrediet opneemt wordt gedurende zijn periode van afwezigheid geacht zich in actieve dienst te bevinden, maar heeft geen recht op salaris. 

Gedurende een afwezigheid door zorgkrediet heeft het personeelslid of het effectief lid van de geschillenkamer recht op een onderbrekingsuitkering conform het besluit van de Vlaamse Regering van 26 juli 2016 tot toekenning van onderbrekingsuitkeringen voor zorgkrediet. 

Als het personeelslid of het effectief lid van de geschillenkamer de uitkering verliest als gevolg van een niet-toegestane cumulatie, of doordat het personeelslid of het effectief lid van de geschillenkamer zelf van een onderbrekingsuitkering afziet of er geen recht op heeft, dan wordt het zorgkrediet stopgezet. 

Die gelijkstelling met non-activiteit geldt voor de volledige periode waarin het personeelslid of het effectief lid van de geschillenkamer geen recht had op een onderbrekingsuitkering en eindigt als het personeelslid het werk hervat of een ander verlof opneemt. 

Als de persoon voor wie het personeelslid of het effectief lid van de geschillenkamer het zorgkrediet opneemt, overlijdt, mag die persoon het zorgkrediet tot maximaal zes maanden na de dag van het overlijden voortzetten. 

Als het zorgkrediet stopt in de loop van een kalendermaand wordt een volledige maand aangerekend op de periode vermeld in artikel 50.

§2. Ziekteverlof of moederschapsrust maken geen einde aan het zorgkrediet.

§3. De vermindering van de arbeidsprestaties in het kader van het zorgkrediet kunnen niet gecombineerd worden met verlof voor deeltijdse prestaties of met ouderschapsverlof, palliatief verlof of verlof wegens bijstand aan of verzorging van een zwaar ziek gezins- of familielid.

§4. Het personeelslid of het effectief lid van de geschillenkamer dat zorgkrediet wil krijgen brengt zijn of haar leidinggevende op de hoogte, in principe drie maanden voor de aanvang, evenals van de datum waarop het zorgkrediet begint en de duur ervan. Voor wat betreft de personeelsleden van het VMRI uitgezonderd de directeur, dient dit te worden gemeld aan de directeur. Voor wat betreft de directeur, dient dit te worden gemeld aan de raad van bestuur. Voor wat betreft de effectieve leden van de geschillenkamer, uitgezonderd de voorzitter van de geschillenkamer, dient dit te worden gemeld aan de voorzitter van de geschillenkamer. Voor wat betreft de voorzitter van de geschillenkamer, dient dit te worden gemeld aan de raad van bestuur.

De nadere regelen voor de opname van het zorgkrediet worden bepaald in overleg tussen de leidinggevende en het betrokken personeelslid of effectief lid van de geschillenkamer.

Hoofdstuk X – Verlof en dienstvrijstelling voor opleiding en bijscholing

Artikel 54.          Dienstvrijstelling wordt verleend voor opleidingen die georganiseerd worden in het kader van het toepasselijke opleidingsbeleid.

Artikel 55         §1. Voor beroepsopleidingen die op eigen initiatief 's avonds of in het weekend gevolgd worden, kan het personeelslid of het effectief lid van de geschillenkamer verlof voor opleiding en bijscholing krijgen als die opleidingen deel uitmaken van de individuele doelstellingen.

De periodes van afwezigheid voor verlof voor opleiding en bijscholing worden gelijkgesteld met actieve dienst.

§2. Onder beroepsopleiding worden alleen opleidingen verstaan die in verband staan met de uitgeoefende functie.

§3. Het verlof voor opleiding en bijscholing wordt toegestaan door de leidinggevende.

§4. Het verlof voor opleiding en bijscholing is gelijk aan het aantal uren van de opleiding met een maximum van 120 uur per jaar.

§5. Het verlof voor opleiding en bijscholing kan slechts éénmaal worden toegekend voor dezelfde opleiding.

§6. Het verlof voor opleiding en bijscholing wordt geschorst indien blijkt dat het personeelslid of het effectief lid van de geschillenkamer niet geregeld de opleiding heeft gevolgd.

Hoofdstuk XI – Omstandigheidsverlof

Artikel 56.          §1. De personeelsleden en de effectieve leden van de geschillenkamer hebben  recht op afwezigheidsdagen ter gelegenheid van familie- en andere bijzondere gebeurtenissen zoals bedoeld in het Koninklijk Besluit van 28 augustus 1963 betreffende het behoud van het normaal loon van werknemers voor afwezigheidsdagen ter gelegenheid van familiegebeurtenissen of voor de vervulling van staatsburgerlijke verplichtingen of van burgerlijke opdrachten. 

Hoofdstuk XII – Bijzonder onbezoldigd verlof

Artikel 57.          Een personeelslid of het effectief lid van de geschillenkamer in de toestand dienstactiviteit heeft recht op de volgende periodes van bijzonder onbezoldigd verlof: 

1° 20 werkdagen per jaar te nemen in volledige dagen en in al dan niet aaneensluitende periodes; 

2° één periode tijdens de gehele loopbaan voor een stage of proefperiode in een andere betrekking bij een overheidsdienst of in de privésector en voor de duur van die stage of proefperiode. Indien er geen stage of proefperiode doorlopen moet worden, bedraagt die periode één jaar; 

3° één maand per verkiezingsperiode om zijn kandidatuur voor wetgevende, provinciale of gemeenteraads- of districtraadsverkiezingen of de rechtstreekse verkiezing van de OCMW-raad voor te bereiden. 

Bij deeltijdse tewerkstelling worden deze periodes pro rata aangepast.

In geval van toepassing van het eerste lid 1° wordt dat bijzonder onbezoldigd verlof gelijkgesteld met een periode van dienstactiviteit. 

In geval van toepassing van het eerste lid 2° en 3° wordt de uitvoering van de arbeidsovereenkomst geschorst.       

TITEL VI – Geldelijk statuut

Hoofdstuk I –  Salarissen

Afdeling I – Salarisschalen

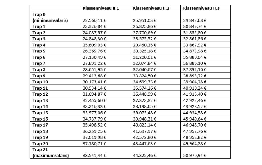
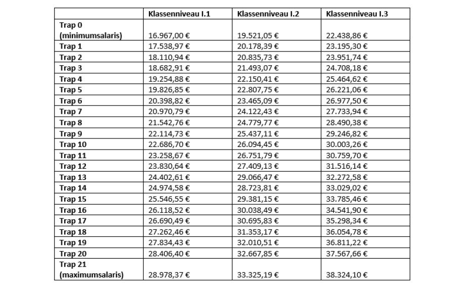
Artikel 58.          Voor elk klassenniveau wordt een salarisschaal vastgesteld. De salarisschalen worden genummerd. 

De salarisschalen worden als bijlage II toegevoegd bij deze rechtspositieregeling. De bedragen in de salarisschalen worden uitgedrukt in euro, en zijn jaarbedragen.

Artikel 59.          De salarisschalen bestaan uit:

  • Een minimumsalaris;
  • Salaristrappen;
  • Een maximumsalaris.
    1. Niet alleen zijn al zijn prestatiedoelstellingen heeft gerealiseerd maar die in meerdere domeinen ook heeft overtroffen;

Artikel 60.          Een personeelslid of een effectief lid van de geschillenkamer ontvangt het salaris van de salarisschaal van zijn klassenniveau, rekening houdend met het aantal salaristrappen waar hij recht op heeft.

Afdeling II – Vaststelling van het salaris

Artikel 61.          Het beginsalaris van een personeelslid of een effectief lid van de geschillenkamer wordt vastgesteld op basis van de salarisschaal die gekoppeld is aan het basisniveau van de klasse waartoe het personeelslid behoort en de beroepservaring zoals bedoeld in artikel 62. Die beroepservaring wordt uitgedrukt in salaristrappen.

In afwijking van het eerste lid, wordt een personeelslid ingeschaald in één of twee klassenniveau hoger dan het basisniveau indien voor de functie een bijzondere expertise en ervaring vereist is. De raad van bestuur beslist of de bijzondere expertise en de ervaring de werving in een hoger klassenniveau noodzaakt.

De evolutie van het salaris binnen een salarisschaal wordt bepaald door de dienstanciënniteit die uitgedrukt wordt in salaristrappen.

Het totaal aantal salaristrappen bepaalt de hoogte van het salaris binnen de salarisschaal.

Artikel 62.          §1. Elke maand functierelevante beroepservaring geeft recht op 1/24e salaristrap.

Deeltijdse diensten komen in aanmerking a rato van het prestatieregime.

De raad van bestuur bepaalt welke beroepservaring functierelevant is. Na de opstartfase, kan de raad van bestuur deze beslissing  voor de klassen I tot en met III delegeren aan de directeur of, voor de personeelsleden van de geschillenkamer, aan de voorzitter van de geschillenkamer. 

Voor de omzetting van de gevalideerde beroepservaring in salaristrappen, wordt de in het eerste lid vermelde breuk afgerond naar het dichtstbijzijnde gehele getal.

§2. Elke periode van twee jaar dienstanciënniteit geeft recht op één salaristrap.   

De raad van bestuur kan beslissen om een bonusregeling te voorzien voor personeelsleden en effectieve leden van de geschillenkamer. In voorkomend geval worden de modaliteiten van die bonus vastgelegd in een reglement dat door de raad van bestuur wordt goedgekeurd. 

Voor het personeelslid of effectief lid van de geschillenkamer van wie de functioneringsevaluatie besloten wordt met een beoordeling onvoldoende zoals bedoeld in artikel 22, wordt de toekenning van de eerstvolgende salaristrap die volgt op die evaluatie, gedurende één jaar uitgesteld. 

De volgende periode bedoeld in het eerste lid begint in geval van een beoordeling onvoldoende zoals bedoeld in artikel 22 vanaf de toekenning van de uitgestelde salaristrap. 

§3 Onverminderd de toepassing van paragraaf 2, ontvangt de directeur bij een globale eindevaluatie van de mandaatperiode met een positieve beoordeling zoals bedoeld in artikel 23, twee extra salaristrappen in de salarisschaal verbonden aan zijn klasse. 

Onverminderd de toepassing van paragraaf 2, ontvangt het personeelslid dat de functie van voorzitter van de geschillenkamer uitoefent na 6, 12 en 18 jaar klassenanciënniteit twee extra salaristrappen, op voorwaarde dat hij gedurende de voorafgaande 6 jaren uitsluitend evaluaties heeft  gekregen die besloten werden met een beoordeling voldoende of overtreft de verwachtingen zoals bedoeld in artikel 22. 

Afdeling III – Uitbetaling van het salaris

Artikel 63.           §1. Het maandsalaris is gelijk aan 1/12 van het jaarsalaris.

§2. Het maandsalaris van de personeelsleden of effectieve leden van de geschillenkamer wordt op het einde van de maand uitbetaald.

§3. Het maandsalaris volgt de evolutie van het indexcijfer van de consumptieprijzen zoals toegepast voor de bezoldigingen van rijksambtenaren, en is gekoppeld aan het spilindexcijfer 138,01 (basisjaar: 1981).

Afdeling IV – Salaris na bevordering naar een hoger klassenniveau

Artikel 64.          Het  personeelslid of het effectieve lid van de geschillenkamer krijgt bij bevordering naar een hoger klassenniveau binnen de salarisschaal die verbonden is aan dat hoger klassenniveau, een salaris dat overeenstemt met de opgebouwde salaristrappen zoals bedoeld in artikel 62.

Hoofdstuk II – Toelagen     

Artikel 65.          §1 De adjunct-directeur en de afdelingshoofden ontvangen een toelage. Deze toelage is gelijk aan het verschil tussen het minimumsalaris van klassenniveau III.1 en het minimumsalaris van klassenniveau III.2.

§2. De toelagen vermeld in paragraaf 1 worden pro rata van de prestaties toegekend en worden maandelijks met het loon uitbetaald.

Hoofdstuk III – Diverse vergoedingen

Artikel 66. 

§ 1 Een gehuwd personeelslid, een personeelslid dat samenleeft of een alleenstaand personeelslid aan wie de kinderbijslag wordt uitbetaald, heeft recht op een haardtoelage van:

1° 719,89 euro (100 %) als het salaris 18.885,84 euro (100 %) niet overschrijdt;

2° 359,95 euro (100 %) als het salaris hoger is dan 18.885,84 euro (100 %), maar niet meer bedraagt dan 21.115,27 euro (100 %).]3

§ 2 Een personeelslid dat geen recht heeft op een haardtoelage, ontvangt een standplaatstoelage van:

1° 359,95 euro (100 %) als het salaris niet hoger is dan 18.885,84 euro (100 %)

2° 179,98 euro (100 %) als het salaris hoger is dan 18.885,84 euro (100 %) maar niet meer bedraagt dan 21.115,27 euro (100 %).

§ 3 Als de twee echtgenoten of de twee personen die samenleven elk beantwoorden aan de voorwaarden om de haardtoelage te verkrijgen, wijzen ze in wederzijds akkoord diegene van de twee aan, aan wie de haardtoelage wordt uitbetaald. 

§ 4 Deze grenswedden volgen de evolutie van het indexcijfer van de consumptieprijzen, zoals toegepast voor de bezoldigingen van rijksambtenaren, en zijn gekoppeld aan het spilindexcijfer 138,01 (basisjaar: 1981).   

§ 5 Als het recht op de haard- en standplaatstoelage in de loop van een maand wijzigt, wordt voor de hele maand het voordeligste stelsel toegepast.

§ 6 De grenswedden in dit artikel volgen de evolutie van het indexcijfer van de consumptieprijzen, zoals toegepast voor de bezoldigingen van rijksambtenaren, en zijn gekoppeld aan het  spilindexcijfer 138,01 (basisjaar: 1981).   

Artikel 67. De personeelsleden of de effectieve leden van de geschillenkamer ontvangen een vakantiegeld volgens de voorwaarden vastgesteld in bijlage III. 

Artikel 68.  De personeelsleden of de effectieve leden van de geschillenkamer ontvangen een eindejaartoelage volgens de voorwaarden vastgelegd in bijlage IV. 

Artikel 69.          De personeelsleden of de effectieve leden van de geschillenkamer zijn verzekerd tegen arbeidsongevallen en ongevallen op de weg naar en van het werk. De verzekering waarborgt vergoedingen en renten berekend op de werkelijke bezoldigingen van het personeelslid. Zij garandeert in aanvulling van de wet ook  vergoedingen en renten op het  gedeelte van de bezoldigingen boven het wettelijk plafond. 

Artikel 70.          De vergoedingen voor onkosten en tussenkomst in het woon-werkverkeer worden vastgesteld door de raad van bestuur. 

Artikel 71. De bijkomende sociale of andere toelagen worden vastgesteld door de raad van bestuur.

Artikel 72.          Als een personeelslid of een effectief lid van de geschillenkamer overlijdt, wordt aan zijn met hem samenwonende echtgenote of aan de officieel met hem samenwonende persoon of, als die er niet zijn, aan zijn erfgenamen in rechte lijn, een vergoeding voor begrafeniskosten toegekend die gelijk is aan het brutosalaris - inclusief vergoedingen die als salaris gelden - van 2 maanden. Die vergoeding wordt toegekend op vertoon van een bewijs van betaling van  de begrafeniskosten. 

De vergoeding is minstens gelijk aan het gemiddelde van het maximumbrutosalaris van  de hoogste en de laagste salarisschaal die bij het VMRI van toepassing is  op het ogenblik van het overlijden. 

Als de in het eerste lid vermelde rechthebbenden er niet zijn, of als zij de begrafenis niet hebben bekostigd, mag de vergoeding worden uitgekeerd aan de natuurlijke persoon of de rechtspersoon die bewijst de begrafeniskosten te hebben gedragen.   

In dat geval is de vergoeding gelijk aan het bedrag van de werkelijke kosten, met als maximum de helft van het in het eerste lid bepaalde bedrag. 

Als de echtgenote of de officieel samenwonende persoon of een kind ten laste van het  gezin van een personeelslid overlijdt, wordt aan hem, indien hij de kosten van de begrafenis  heeft  betaald, een  bedrag toegekend dat overeenstemt met een bruto maandsalaris, met als minimum de helft van het in het tweede lid bepaalde minimum. Indien beide partners behoren tot het personeel van het VMRI, wordt per overlijden één vergoeding voor begrafeniskosten uitgekeerd volgens de gunstigste  bepaling van dit artikel. 

Artikel 73.          De personeelsleden of de effectieve leden van de geschillenkamer genieten een vergoeding bij pensionering die overeenstemt met vier maanden van hun laatste brutosalaris, met inbegrip van de vergoedingen die als salaris gelden. 

Hoofdstuk IV – Aanvullend pensioen voor de personeelsleden en de effectieve leden van de geschillenkamer

Artikel 74.          Elk personeelslid en de effectieve leden van de geschillenkamer hebben recht op een  aanvullend pensioen, dat door de werkgever wordt gefinancierd met vaste bijdragen ten belope van 3% van het salaris. 

Voor de berekening van de in het eerste lid vermelde bijdrage, wordt het gemiddelde  genomen van het bruto maandsalaris van de eerste en de laatste tewerkstellingsmaand van het kalenderjaar verhoogd met de haard- of standplaatstoelage en vermenigvuldigd met de factor 13,82. 

Het in het eerste lid vermelde recht wordt opgebouwd pro rata van de prestaties. In  afwijking hiervan  worden  de periodes  van  afwezigheid ingevolge  ziekteverlof,  moederschapsrust en arbeidsongeval gelijkgesteld met werkelijk geleverde prestaties.  Het aanvullend pensioen wordt bij pensionering uitbetaald onder de vorm van een eenmalig kapitaal tenzij het personeelslid de omzetting in rente vraagt. In geval van  overlijden vóór de pensionering worden de verworven reserves uitbetaald aan de begunstigde(n). 

Het personeelslid valt onder de aanvullende pensioentoezegging vanaf de datum indiensttreding. 

Titel VIII – Slotbepalingen

Artikel 75.          Deze rechtspositieregeling treedt in werking op de eerste dag na publicatie in het Belgisch Staatsblad.

BIJLAGE I – Toegepaste beoordelingscriteria bij evaluatie

  1. De vermelding “overtreft de verwachtingen” wordt toegekend aan het personeelslid dat aan de volgende vier criteria voldoet:

 

  1. Niet alleen zijn al zijn prestatiedoelstellingen heeft gerealiseerd maar die in meerdere domeinen ook heeft overtroffen;
  2. Zijn competenties heeft ontwikkeld ver boven de gewone eisen die noodzakelijk zijn om zijn functie op een bevredigende wijze uit te oefenen;
  3. Meer dan gemiddeld heeft bijgedragen tot de teamprestaties;
  4. Uitermate beschikbaar was voor de gebruikers van de dienst.

 

  1. De vermelding “voldoet aan de verwachtingen” wordt toegekend aan het personeelslid dat aan de volgende vier criteria voldoet:

 

  1. Het overgrote gedeelte van zijn prestatiedoelstellingen hebben gerealiseerd;
  2. Over de competenties beschikken die noodzakelijk zijn om zijn functie op een bevredigende wijze uit te oefenen of die competenties hebben ontwikkeld als een dergelijke doelstelling tijdens het planningsgesprek was vastgesteld;
  3. Beschikbaar zijn geweest voor de gebruikers van de dienst;
  4. Op een behoorlijke wijze hebben bijgedragen tot de teamprestaties.

Als het personeelslid aan de eerste drie criteria voldoet, heeft het recht op de vermelding “voldoet aan de verwachtingen”, behalve als het niet-nakomen van het laatste criterium van dien aard is dat het de goede werking of het imago van de dienst ernstig schaadt zonder het voorwerp van een tuchtprocedure uit te maken.

 

  1. De vermelding “onvoldoende” wordt toegekend aan het personeelslid dat:

 

  1. Ofwel minder dan 50% van zijn prestatiedoelstellingen heeft gerealiseerd;
  2. Ofwel niet de competenties heeft ontwikkeld die noodzakelijk zijn om zijn functie uit te oefenen en die niet meer op een bevredigende wijze kan uitoefenen, terwijl het die ontwikkelingsdoelstelling kreeg toegewezen tijdens het planningsgesprek;
  3. Ofwel niet beschikbaar was voor de gebruikers van de dienst, ondanks vermaningen die het gedurende de hele periode kreeg en onder voorbehoud dat die feiten geen voorwerp van een tuchtprocedure uitmaken.

De bijdrage tot teamprestaties wordt beoordeeld als een verzwarend of verzachtend element. Als het personeelslid echter het voorwerp is van een tuchtprocedure voor feiten die dat domein betreffen, mag hier met die feiten geen rekening worden gehouden.

BIJLAGE II – Salarisschalen (per 1/2023 te indexeren op 1,999)

Klasse I

Klasse II

Klasse III

Klasse IV en V